

PUBLICATIONS
Link to: GOOGLE SCHOLAR

Van der Waals waveguide quantum electrodynamics probed by infrared nano-photoluminescence
Samuel L. Moore, Hae Yeon Lee, Nicholas Rivera, Yuzuka Karube, Mark Ziffer, Emanuil S. Yanev, Thomas P. Darlington, Aaron J. Sternbach, Madisen A. Holbrook, Jordan Pack, Xiaodong Xu, Cory R. Dean, Jonathan S. Owen, P. James Schuck, Milan Delor, Xiaoyang Zhu, James Hone, Dmitri N. Basov
Nat. Photon., 2025

From Structure to Function: Designing Iridium Catalysts with Spin-Forbidden Excitation for Low-Energy Light-Driven Reactions
Eva Bednářová, Robin Grotjahn, Chenxi Lin, Katherine A. Xie, Yuzuka Karube, Jonathan S. Owen, Candice L. Joe, Brendan C. Lainhart, Trevor C. Sherwood, Tomislav Rovis
J. Am. Chem. Soc., 2025, 147 (15), 12511–12522

Steric stabilization of colloidal UiO-66 nanocrystals with oleylammonium octadecylphosphonate
Sungho V. Park, Lakshmi Bhai, Gahyun Annie Lee, Ah-Hyung Alissa Park, Lauren E. Marbella, and Jonathan S. Owen
Chem. Sci., 2025, 16, 933-938

One Pot Synthesis of Cyan Emitting CdZnSSe Quantum Dots for Human Centric Lighting
Abraham J. Jordan, Zhuolei Zhang, Ellie Bennett, Leslie Guadalupe Castro, David Jingbo Han, Iva Rreza, Avelet Teitelboim, Brian Theobald, Bereket L. Zekarias, Emory M. Chan, and Jonathan S. Owen
J. Phys. Chem. C, 2025, 129 (1), 993-998

Metal Fluorides Passivate II-VI and III-V Quantum Dots
Rodolphe Valleix, William Zhang, Abraham J. Jordan, Lilian Guillemeney, Leslie G. Castro, Bereket L. Zekarias, Sungho V. Park, Oliver Wang, and Jonathan S. Owen
Nano Lett., 2024, 24 (19), 5722-5728

Synthesis of graded CdS1−xSex nanoplatelet alloys and heterostructures from pairs of chalcogenoureas with tailored conversion reactivity
Natalie Saenz, Leslie S. Hamachi, Anna Wolock, Berit H. Goodge, Alexis Kuntzmann, Benoit Dubertret, Isabel Billinge, Lena F. Kourkoutis, David A. Muller, Andrew C. Crowther, and Jonathan S. Owen
Chem. Sci., 2023, 14, 12345–12354

Indefinite and bidirectional near-infrared nanocrystal photoswitching
Changhwan Lee, Emma Z. Xu, Kevin W. C. Kwock, Ayelet Teitelboim, Yawei Liu, Hye Sun Park, Benedikt Ursprung, Mark E. Ziffer, Yuzuka Karube, Natalie Fardian-Melamed, Cassio C. S. Pedroso, Jongwoo Kim, Stefanie D. Pritzl, Sang Hwan Nam, Theobald Lohmueller, Jonathan S. Owen, Peter Ercius, Yung Doug Suh, Bruce E. Cohen, Emory M. Chan, and P. James Schuck
Nature, 2023, 618, 951–958

Design Rules for Obtaining Narrow Luminescence from Semiconductors Made in Solution
Hao A. Nguyen, Grant Dixon, Florence Y. Dou, Shaun Gallagher, Stephen Gibbs, Dylan M. Ladd, Emanuele Marino, Justin C. Ondry, James P. Shanahan, Eugenia S. Vasileiadou, Stephen Barlow, Daniel R. Gamelin, David S. Ginger, David M. Jonas, Mercouri G. Kanatzidis, Seth R. Marder, Daniel Morton, Christopher B. Murray, Jonathan S. Owen, Dmitri V. Talapin, Michael F. Toney, and Brandi M. Cossairt
Chem. Rev., 2023, 123, 12, 7890 – 7952

Persistent Nucleation and Size Dependent Attachment Kinetics Produce Monodisperse PbS Nanocrystals
Benjamin Abecassis, Matthew W. Greenberg, Vivekananda Bal, Brandon Makana McMurtry, Michael P. Campos, Lilian Guillemeney, Benoit Mahler, Sylvain Prevost, Lewis Sharpnack, Mark Hendricks, Daniel DeRosha, Ellie Bennett, Natalie Saenz, Baron Peters, and Jonathan S. Owen
Chem. Sci., 2022, 13, 4977–4983

Growth Kinetics Determine the Polydispersity and Size of PbS and PbSe Nanocrystals
Michael P. Campos, Jonathan De Roo, Matthew W. Greenberg, Brandon Makana Mcmurtry, Mark Hendricks, Ellie Bennett, Natalie Saenz, Matthew Y. Sfeir, Benjamin Abécassis, Sanjit K. Ghose, and Jonathan S. Owen
Chem. Sci., 2022, 13, 4555–4565

Size Dependent Optical Properties and Structure of ZnS Nanocrystals Prepared from a Library of Thioureas
Ellie Bennett, Matthew W. Greenberg, Abraham J. Jordan, Leslie S. Hamachi, Soham Banerjee, Simon J. L. Billinge, and Jonathan S. Owen
Chem. Mater., 2022, 34, 2, 706–717

Relations between absorption, emission, and excited state chemical potentials from nanocrystal 2D spectra
Jisu Ryu, Samuel D. Park, Dmitry Baranov, Iva Rreza, Jonathan S. Owen, David M Jonas
Sci. Adv., 2021, 7 (22), 4741

Performance of Spherical Quantum Well Down Converters in Solid State Lighting
Iva Rreza, Haoran Yang, Leslie Hamachi, Michael Campos, Trevor Hull, Joseph Treadway, Juanita Kurtin, Emory M. Chan, and Jonathan S. Owen
ACS Appl. Mater. Interfaces, 2021, 13 (10), 12191

Au/TiO2-Catalyzed Benzyl Alcohol Oxidation on Morphologically Precise Anatase Nanoparticles
Akbar Mahdavi-Shakib, Janine Sempel, Maya Hoffman, Aisha Oza, Ellie Bennett, Jonathan S. Owen, Amir Rahmani Chokanlu, Brian G. Frederick, and Rachel Narehood Austin
ACS Appl. Mater. Interfaces, 2021, 13 (10), 11793

Continuous Nucleation and Size Dependent Growth Kinetics of Indium Phosphide Nanocrystals
Brandon M. McMurtry, Kevin Qian, Joseph K. Teglasi, Anindya K. Swarnakar, Jonathan De Roo, and Jonathan S. Owen
Chem. Mater., 2020, 32, 4358

Anthracene Diphosphate Ligands for CdSe Quantum Dots; Molecular Design for Efficient Upconversion
Jonathan De Roo, Zhiyuan Huang, Nathaniel J. Schuster, Leslie S. Hamachi, Daniel N. Congreve,
Zihao Xu, Pan Xia, Dmitry A. Fishman, Tianquan Lian, Jonathan S. Owen, and Ming Lee TangChem. Mater., 2020, 32, 1461

Dynamic emission Stokes shift and liquid-like dielectric solvation of band edge carriers in lead-halide perovskites
Yinsheng Guo, Omer Yaffe, Trevor D. Hull, Jonathan S. Owen, David R. Reichman and Louis E. Brus
Nat. Comm., 2019, 10, 1175

Size-dependent lattice dynamics of atomically precise cadmium selenide quantum dots
Chenyang Shi, Alexander N. Beecher, Yan Li, Jonathan S. Owen, Bogdan M. Leu, Ayman H. Said, Michael Y. Hu and Simon J. L. Billinge
Phys. Rev. Lett., 2019, 122(2), 026101

Flexible nanopipettes for minimally invasive intracellular electrophysiology in vivo
Krishna Jayant, Michael Wenzel, Yuki Bando, Jordan P. Hamm, Nicola Mandriota, Jake H. Rabinowitz, Ilan Jen-La Plante, Jonathan S. Owen, Ozgur Sahin, Kenneth L. Shepard and Rafael Yuste
Cell Rep., 2019, 26(1), 266

Precursor reaction kinetics control compositional grading and size of CdSe(1−x)Sx nanocrystal heterostructures
Leslie S. Hamachi, Haoran Yang, Ilan Jen-La Plante, Natalie Saenz, Kevin Qian, Michael P. Campos, Gregory T. Cleveland, Iva Rreza, Aisha Oza, Willem Walravens, Emory M. Chan, Zeger Hens, Andrew C. Crowther and Jonathan S. Owen
Chem. Sci., 2019, 10, 6539

Anthracene as a Launchpad for a Phosphinidene Sulfide and for Generation of a Phosphorus–Sulfur Material Having the Composition P2S, a Vulcanized Red Phosphorus That Is Yellow
Wesley J. Transue, Matthew Nava, Maxwell W. Terban, Jing Yang, Matthew W. Greenberg, Gang Wu, Elizabeth S. Foreman, Chantal L. Mustoe, Pierre Kennepohl, Jonathan S. Owen, Simon J. L. Billinge, Heather J. Kulik and Christopher C. Cummins
JACS, 2019, 141(1), 431

Synthesis of phosphonic acid ligands for nanocrystal surface functionalization and solution processed memristors
Jonathan De Roo, Zimu Zhou, Jiaying Wang, Loren Deblock, Alfred J. Crosby, Jonathan S. Owen and Stephen S. Nonnenmann
Chem. Mater., 2019, 30(21), 8034

Probing solvent–ligand interactions in colloidal nanocrystals by the NMR line broadening
Jonathan De Roo, Nuri Yazdani, Emile Drijvers, Alessandro Lauria, Jorick Maes, Jonathan S. Owen, Isabel Van Driessche, Markus Niederberger, Vanessa Wood, Jose C. Martins, Ivan Infante and Zeger Hens
Chem. Mater., 2018, 30(15), 5485

Localizing Seizure Activity in the Brain Using Implantable Micro‐LEDs with Quantum Dot Downconversion
Christopher Choi, Aida R. Colón‐Berríos, Leslie S. Hamachi, Jonathan S. Owen, Theodore H. Schwartz, Hongtao Ma and Ioannis Kymissis
Adv. Mater. Tech., 2018, 3(6), 1700366

Two‐Dimensional Fullerene Assembly from an Exfoliated van der Waals Template
Kihong Lee, Bonnie Choi, Ilan Jen‐La Plante, Maria V. Paley, Xinjue Zhong, Andrew C. Crowther, Jonathan S. Owen, Xiaoyang Zhu and Xavier Roy
Angewandte Chemie, 2018, 130(21), 6233

Stereoelectronic Effects on the Binding of Neutral Lewis Bases to CdSe Nanocrystals
Nicholas C. Anderson, Peter E. Chen, Aya K. Buckley, Jonathan De Roo and Jonathan S. Owen
JACS, 2018, 140(23), 7199

Stabilization of Colloidal Ti, Zr, and Hf Oxide Nanocrystals by Protonated Tri-n-octylphosphine Oxide (TOPO) and Its Decomposition Products
Katrien De Keukeleere, Sofie Coucke, Els De Canck, Pascal Van Der Voort, Fabien Delpech, Yannick Coppel, Zeger Hens, Isabel Van Driessche, Jonathan S. Owen and Jonathan De Roo
Chem. Mater., 2017, 29(30), 10233

Kinetic control over CdS nanocrystal nucleation using a library of thiocarbonates, thiocarbamates, and thioureas
Leslie S. Hamachi, Ilan Jen-La Plante, Aidan C. Coryell, Jonathan De Roo and Jonathan S. Owen
Chem. Mater., 2017, 29(20), 8711

Nucleation and growth kinetics from LaMer burst data
Daniel B. K. Chu, Jonathan S. Owen and Baron Peters
JPC A, 2017, 121(40), 7511

Interplay between organic cations and inorganic framework and incommensurability in hybrid lead-halide perovskite CH3NH3PBr3
Yinsheng Guo, Omer Yaffe, Daniel W. Paley, Alexander N. Beecher, Trevor D. Hull, Guilherme Szpak, Jonathan S. Owen, Louis E. Brus and Marcos A. Pimenta
Phys. Rev. Mater., 2017, 1(4), 042401

Chemical synthesis and luminescence applications of colloidal semiconductor quantum dots
Jonathan Owen and Louis Brus
JACS, 2017, 139(32), 10939

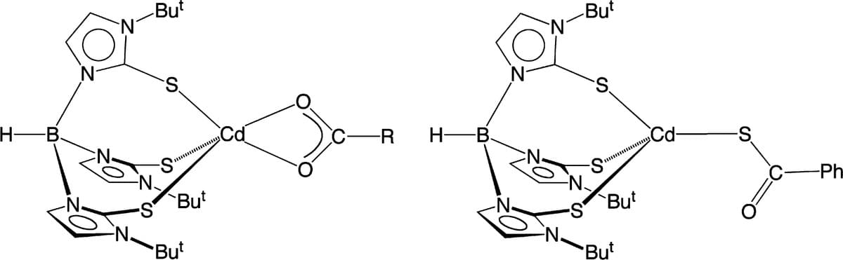
Tris(2-mercaptoimidazolyl)hydroborato Cadmium Thiolate Complexes, [TmBut]CdSAr: Thiolate Exchange at Cadmium in a Sulfur-Rich Coordination Environment
Ava Kreider-Mueller, Patrick J. Quinlivan, Jonathan S. Owen and Gerard Parkin
Inorg. Chem., 2017, 56(8), 4643

Targeted intracellular voltage recordings from dendritic spines using quantum-dot-coated nanopipettes
Krishna Jayant, Jan J. Hirtz, Ilan Jen-La Plante, David M. Tsai, Wieteke De Boer, Alexa Semonche, Darcy S. Peterka, Jonathan S. Owen, Ozgur Sahin, Kenneth L. Shepard and Rafael Yuste
Nat. Nano, 2017, 12(4), 335

Local polar fluctuations in lead halide perovskite crystals
Omer Yaffe, Yinsheng Guo, Liang Z. Tan, David A. Egger, Trevor D. Hull, Constantinos C. Stoumpos, Fan Zheng, Tony F. Heinz, Leeor Kronik, Mercouri G. Kanatzidis, Jonathan S. Owen, Andrew M.Rappe, Marcos A. Pimenta and Louis E. Brus
Phys. Rev. Lett., 2017, 118(13), 136001

Unbalanced hole and electron diffusion in lead bromide perovskites
Giselle A. Elbaz, Daniel B. Straus, Octavi E. Semonin, Trevor D. Hull, Daniel W. Paley, Philip Kim, Jonathan S. Owen, Cherie R. Kagan and Xavier Roy
Nano Lett., 2017, 17(3), 1727

Tight Binding of Carboxylate, Phosphonate, and Carbamate Anions to Stoichiometric CdSe Nanocrystals
Peter E. Chen, Nicholas C. Anderson, Zachariah M. Norman and Jonathan S. Owen
JACS, 2017, 139(8), 3227

A library of selenourea precursors to PbSe nanocrystals with size distributions near the homogeneous limit
Michael P. Campos, Mark P. Hendricks, Alexander N. Beecher, Willem Walravens, Robert A. Swain, Gregory T. Cleveland, Zeger Hens, Matthew Y. Sfeir and Jonathan S. Owen
JACS, 2017, 139(6), 2296

On the origin of surface traps in colloidal II–VI semiconductor nanocrystals
Arjan J. Houtepen, Zeger Hens, Jonathan S. Owen and Ivan Infante
Chem. Mater., 2017, 29(2), 752

Transition from molecular vibrations to phonons in atomically precise cadmium selenide quantum dots
Alexander N. Beecher, Rachel A. Dziatko, Michael L. Steigerwald, Jonathan S. Owen and Andrew C. Crowther
JACS, 2016, 138(51), 16754

Direct observation of dynamic symmetry breaking above room temperature in methylammonium lead iodide perovskite
Alexander N. Beecher, Octavi E. Semonin, Jonathan M. Skelton, Jarvist M. Frost, Maxwell W. Terban, Haowei Zhai, Ahmet Alatas, Jonathan S. Owen, Aron Walsh and Simon J. L. Billinge
ACS Energy Lett., 2016, 1(4), 880

Limits of Carrier Diffusion in n-Type and p-Type CH3NH3PbI3 Perovskite Single Crystals
Octavi E. Semonin, Giselle A. Elbaz, Daniel B. Straus, Trevor D. Hull, Daniel W. Paley, Arend M. Van der Zande, James C. Hone, Ioannis Kymissis, Cherie R. Kagan, Xavier Roy and Jonathan S. Owen
ACS Energy Lett., 2016, 1(4), 880

Modulation of nitrogen vacancy charge state and fluorescence in nanodiamonds using electrochemical potential
Sinan Karaveli, Ophir Gaathon, Abraham Wolcott, Reyu Sakakibara, Or A. Shemesh, Darcy S. Peterka, Edward S. Boyden, Jonathan S. Owen, Rafael Yuste and Dirk Englund
PNAS, 2016, 113(15), 3938

Synthesis, structure and reactivity of [Tm But] ZnH, a monomeric terminal zinc hydride compound in a sulfur-rich coordination environment: access to a heterobimetallic compound
Ava Kreider-Mueller, Patrick J. Quinlivan, Michael Rauch, Jonathan S. Owen and Gerard Parkin
Chem. Comm., 2016, 52(11), 2358

Synthesis and Surface Chemistry of Cadmium Carboxylate Passivated CdTe Nanocrystals from Cadmium bis(Phenyltellurolate)
Michael P. Campos and Jonathan S. Owen
Chem. Mater, 2015, 28(1), 227

Effect of surface stoichiometry on blinking and hole trapping dynamics in CdSe nanocrystals
Erik Busby, Nicholas C. Anderson, Jonathan S. Owen and Matthew Y. Sfeir
Chem. Mater, 2015, 119(49), 27797

Exchange of alkyl and tris (2-mercapto-1-t-butylimidazolyl) hydroborato ligands between zinc, cadmium and mercury
Ava Kreider-Mueller, Patrick J. Quinlivan, Yi Rong, Jonathan S. Owen and Gerard Parkin
J. Organomet. Chem., 2015, 792, 111

Excitons in ultrathin organic-inorganic perovskite crystals
Omer Yaffe, Alexey Chernikov, Zachariah M. Norman, Yu Zhong, Ajanthkrishna Velauthapillai, Arend van der Zande, Jonathan S. Owen and Tony F. Heinz
Phys. Rev. B, 2015, 92(4), 045414

Infrared spectroscopic study of vibrational modes in methylammonium lead halide perovskites
Tobias Glaser, Christian Müller, Michael Sendner, Christian Krekeler, Octavi E. Semonin, Trevor D. Hull, Omer Yaffe, Jonathan S. Owen, Wolfgang Kowalsky, Annemarie Pucci and Robert Lovrinčić
J. Phys. Chem. Lett., 2015, 6(15), 2913

A tunable library of substituted thiourea precursors to metal sulfide nanocrystals
Mark P. Hendricks, Michael P. Campos, Gregory T. Cleveland, Ilan Jen-La Plante and Jonathan S. Owen
Science, 2015, 348(6240), 1226

Synthesis and Structures of Cadmium Carboxylate and Thiocarboxylate Compounds with a Sulfur-Rich Coordination Environment: Carboxylate Exchange Kinetics Involving Tris(2-mercapto-1-t-butylimidazolyl)hydroborato Cadmium Complexes, [TmBut]Cd(O2CR)
Ava Kreider-Mueller, Patrick J. Quinlivan, Jonathan S. Owen and Gerard Parkin
Inorganic Chem., 2015, 54(8), 3835

The coordination chemistry of nanocrystal surfaces
Jonathan S. Owen
Science., 2015, 347(6222), 615

Trap states in lead iodide perovskites
Xiaoxi Wu, M. Tuan Trinh, Daniel Niesner, Haiming Zhu, Zachariah M. Norman, Jonathan S. Owen, Omer Yaffe, Bryan J. Kudisch and Xiaoyang Zhu
JACS, 2015, 137(5), 2089

Surface structure of aerobically oxidized diamond nanocrystals
Abraham Wolcott, Theanne Schiros, Matthew E. Trusheim, Edward H. Chen, Dennis Nordlund, Rosa E. Diaz, Ophir Gaathon, Dirk Englund and Jonathan S. Owen
JPC C, 2014, 118(46), 26695

Atomic structures and gram scale synthesis of three tetrahedral quantum dots
Alexander N. Beecher, Xiaohao Yang, Joshua H. Palmer, Alexandra L. LaGrassa, Pavol Juhas, Simon J. L. Billinge and Jonathan S. Owen
JACS, 2014, 136(30), 10645

Electrical transport and grain growth in solution-cast, chloride-terminated cadmium selenide nanocrystal thin films
Zachariah M. Norman, Nicholas C. Anderson and Jonathan S. Owen
ACS Nano, 2014, 8(7), 7513

Time-resolved energy transfer from single chloride-terminated nanocrystals to graphene
O. A. Ajayi, N. C. Anderson, M. Cotlet, N. Petrone, T. Gu, A. Wolcott, F. Gesuele, J. Hone, J. S. Owen and C. W. Wong
Appl. Phys. Lett., 2014, 104(17), 171101

Molecular structures of tris(2-mercapto-1-tert-butylimidazolyl)hydroborato and tris(2-mercapto-1-adamantylimidazolyl)hydroborato sodium complexes: analysis of [TmR] ligand coordination modes and conformations
Ava Kreider-Mueller , Yi Rong , Jonathan S. Owen and Gerard Parkin
Dalton Trans., 2014, 43, 10852

Structure of methylammonium lead iodide within mesoporous titanium dioxide: active material in high-performance perovskite solar cells
Joshua J Choi, Xiaohao Yang, Zachariah M. Norman, Simon J. L. Billinge and Jonathan S. Owen
Nano Lett., 2013, 14(1), 127

Ligand Exchange and the Stoichiometry of Metal Chalcogenide Nanocrystals: Spectroscopic Observation of Facile Metal-Carboxylate Displacement and Binding
Nicholas C. Anderson, Mark P. Hendricks, Joshua J. Choi and Jonathan S. Owen
JACS, 2013, 135(49), 18536

A Hot Electron–Hole Pair Breaks the Symmetry of a Semiconductor Quantum Dot
M. Tuan Trinh, Matthew Y. Sfeir, Joshua J. Choi, Jonathan S. Owen and Xiaoyang Zhu
Nano Lett., 2013, 13(12), 6091

Conversion Reactions of Cadmium Chalcogenide Nanocrystal Precursors
Raúl García-Rodríguez, Mark P. Hendricks, Brandi M. Cossairt, Haitao Liu and Jonathan S. Owen
Chem. Mater., 2013, 25(8), 1233

Soluble, Chloride-Terminated CdSe Nanocrystals: Ligand Exchange Monitored by 1H and 31P NMR Spectroscopy
Nicholas C. Anderson and Jonathan S. Owen
Chem. Mater., 2013, 25(1), 69

The Importance of Nanocrystal Precursor Conversion Kinetics: Mechanism of the Reaction between Cadmium Carboxylate and Cadmium Bis(diphenyldithiophosphinate)
Mark P. Hendricks, Brandi M. Cossairt and Jonathan S. Owen
ACS Nano, 2012, 6 (11), 10054

Tuning the Surface Structure and Optical Properties of CdSe Clusters Using Coordination Chemistry
Brandi M. Cossairt, Pavol Juhas, Simon J. L. Billinge and Jonathan S. Owen
J. Phys. Chem. Lett, 2011, 2 (24), 3075

CdSe Clusters: At the Interface of Small Molecules and Quantum Dots
Brandi M. Cossairt and Jonathan S. Owen
Chem. Mater., 2011, 23 (12), 3114

Focusing Nanocrystal Size Distributions via Production Control
Michael D. Clark, Sanat K. Kumar, Jonathan S. Owen and Emory M. Chan
Nano Lett., 2011, 11 (5), 1976

Precursor Conversion Kinetics and the Nucleation of Cadmium Selenide Nanocrystals
Jonathan S. Owen, Emory M. Chan, Haitao Liu and A. Paul Alivisatos
JACS, 2010, 132 (51), 18206

Reproducible, High-Throughput Synthesis of Colloidal Nanocrystals for Optimization in Multidimensional Parameter Space
Emory M. Chan, Chenxu Xu, Alvin W. Mao, Gang Han, Jonathan S. Owen, Bruce E. Cohen and Delia J. Milliron
Nano Lett., 2010, 10 (5), 1874

Reaction Chemistry and Ligand Exchange at Cadmium-Selenide Nanocrystal Surfaces
Jonathan S. Owen, Jungwon Park, Paul-Emile Trudeau and A. Paul Alivisatos
JACS, 2008, 130 (37), 12279

Mechanistic Study of Precursor Evolution in Colloidal Group II-VI Semiconductor Nanocrystal Synthesis
Haitao Liu, Jonathan S. Owen and A. Paul Alivisatos
JACS, 2007, 129 (2), 305

Kinetics and Mechanism of Methane, Methanol, and Dimethyl Ether C-H Activation with Electrophilic Platinum Complexes
Jonathan S. Owen, Jay A. Labinger and John E. Bercaw
JACS, 2006, 128 (6), 2005

Pyridinium-derived N-heterocyclic carbene ligands: syntheses, structures and reactivity of N-(2'-pyridyl)pyridin-2-ylidene complexes of nickel(II), palladium(II) and platinum(II)
Nicholas A. Piro, Jonathan S. Owen and John E. Bercaw
Polyhedron, 2004, 23 (17), 2797

Pyridinium-Derived N-Heterocyclic Carbene Complexes of Platinum: Synthesis, Structure and Ligand Substitution Kinetics
Jonathan S. Owen, Jay A. Labinger and John E. Bercaw
JACS, 2004, 126 (26), 8247

Rapid Access to Diverse Arrays of Chiral 3,4-Diazaphospholanes
Clark R. Landis, Wiechang Jin, Jonathan S. Owen and Thomas P. Clark
Angew. Chem. Int. Ed., 2001, 40 (18), 3432

Rapid Access to Diverse Arrays of Chiral 3,4-Diazaphospholanes
Clark R. Landis, Wiechang Jin, Jonathan S. Owen and Thomas P. Clark
Angew. Chem. Int. Ed., 2001, 40 (18), 3432
Contact Us
Lab: 212-854-4686
501 Havemeyer Hall
© 2019










































































